网易蛋仔派对不处理未成年充值问题
投诉编号:TS20240126121604102250
投诉时间:2024-01-26 12:18
投诉对象:网易游戏
投诉诉求:退款
投诉进度:投诉发布——>商家处理——>商家回复——>投诉解决
投诉详情:
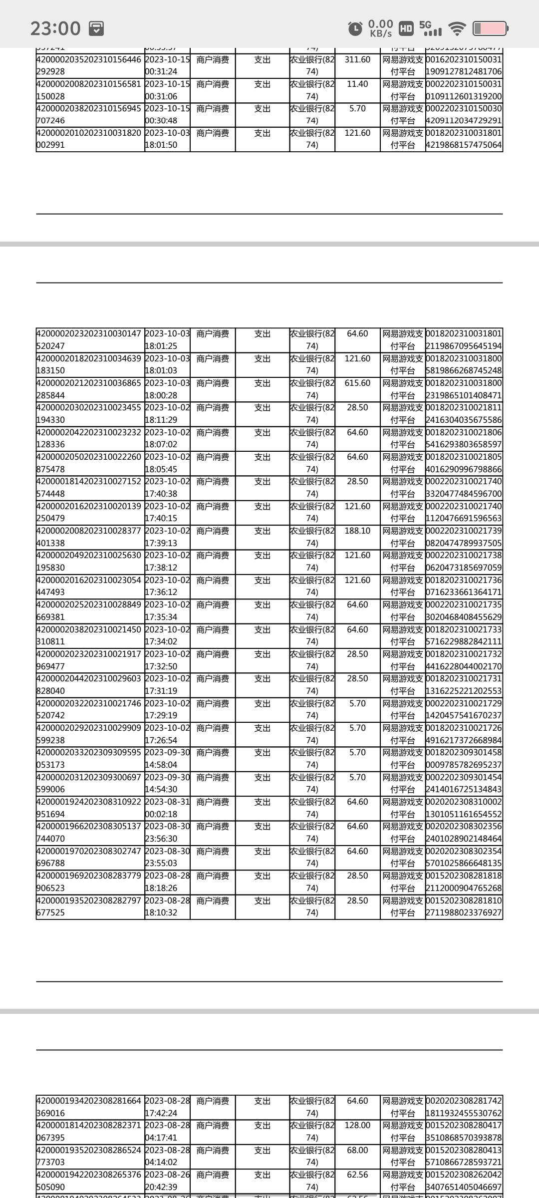
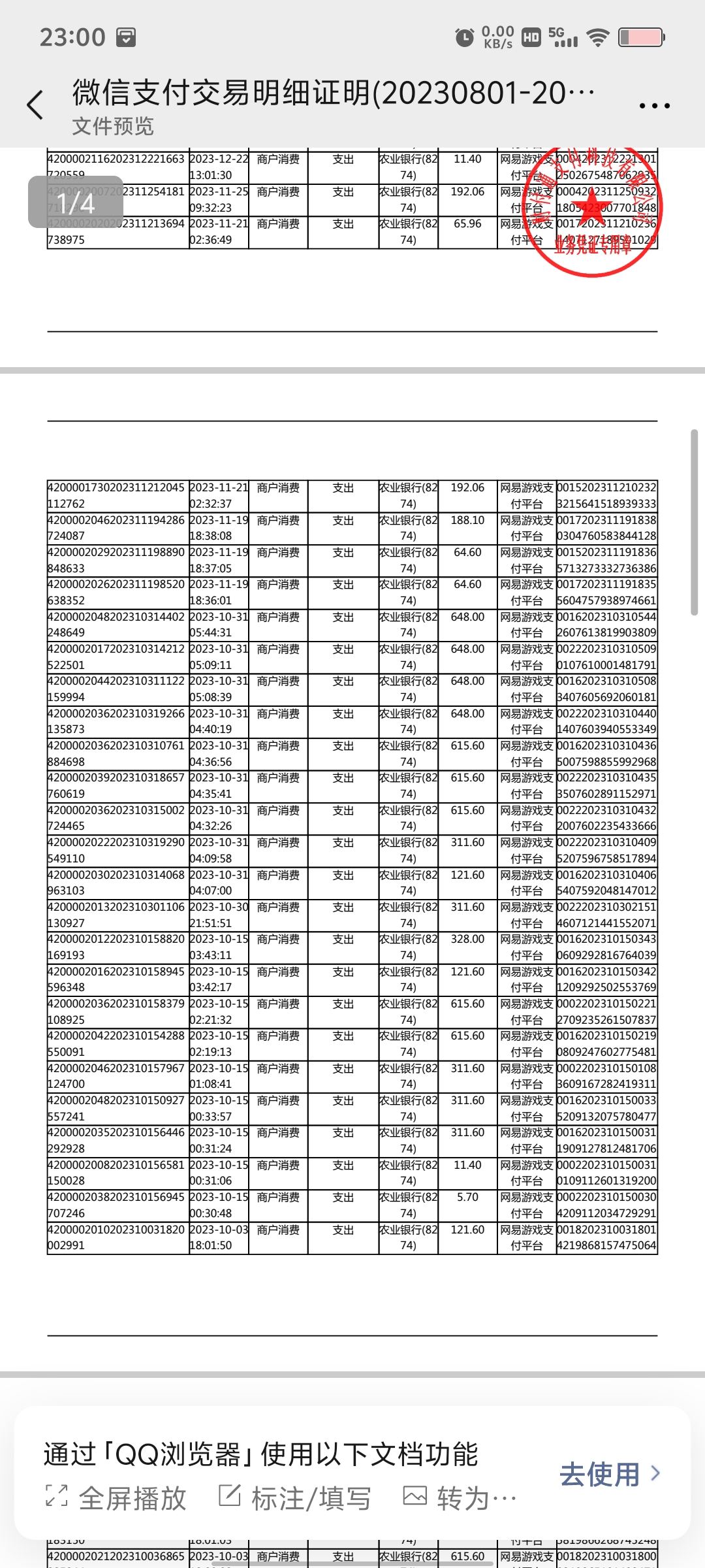
孩子利用妈妈身份证注册登录网易游戏蛋仔派对,并于2023年8月25日至2024年1月23日期间先后瞒着父母偷偷充值了12266余元,妈妈在2024年1月23日发现,后通过网易家长关爱平台公众号进行退款申请,后被网易驳回。
投诉详情:
孩子利用妈妈身份证注册登录网易游戏蛋仔派对,并于2023年8月25日至2024年1月23日期间先后瞒着父母偷偷充值了12266余元,妈妈在2024年1月23日发现,后通过网易家长关爱平台公众号进行退款申请,后被网易驳回。
投诉处理:


商家:经反馈给到相关部门进行处理,相关工作人员会第一时间给您致电告知,请您务必保持电话畅通,感谢您的理解!
声明:
1、以上内容仅代表用户本人,不代表投诉通立场;
2、未经授权,本平台案例禁止任何转载,违者将被追究法律责任。